On Friday, Donald Trump generated substantial controversy when he asserted that George W. Bush was president at the time of the 9/11 attacks.
“When you talk about George Bush, I mean, say what you want, the World Trade Center came down during his time,” Trump said. “He was president, O.K.?”
Jeb Bush immediately pushed back, calling Trump’s comments “pathetic” and insisting “my brother kept us safe.”
The media jumped on to the burgeoning controversy. According to The New York Times the idea that Bush was president on 9/11 and failed to stop the attack is a “break from the GOP.”
In a break with the GOP, Donald Trump suggests George Bush failed to stop 9/11 attacks http://t.co/Y8RtgtaKBu pic.twitter.com/kd6m0ZoRUZ
— The New York Times (@nytimes) October 17, 2015
Was George W. Bush president on September 11, 2001? It’s time to settle this once and for all.
It’s true that, in the presidential election held on November 7, 2000, George W. Bush received fewer votes than Al Gore.
But according to the Associated Press, this is a photo of George W. Bush being sworn in as president on January 20, 2001.

Contemporaneous reports suggest that America’s arcane election rules and a favorable Supreme Court ruling handed the election to Bush, even though he lacked popular support.
Calendars from that era indicate that January 20, the day Bush was sworn in as president, occurred some time before September 11.

That still doesn’t settle the question of whether Bush stopped being president sometime before September 11.
According to ABC News, George W. Bush spent the entire month of August 2001 on vacation at his ranch in Texas, which is not typical behavior for someone who is president. Other reports, however, reveal Bush continue to receive the “Presidential Daily Brief” at the ranch, strongly suggesting he was still president.
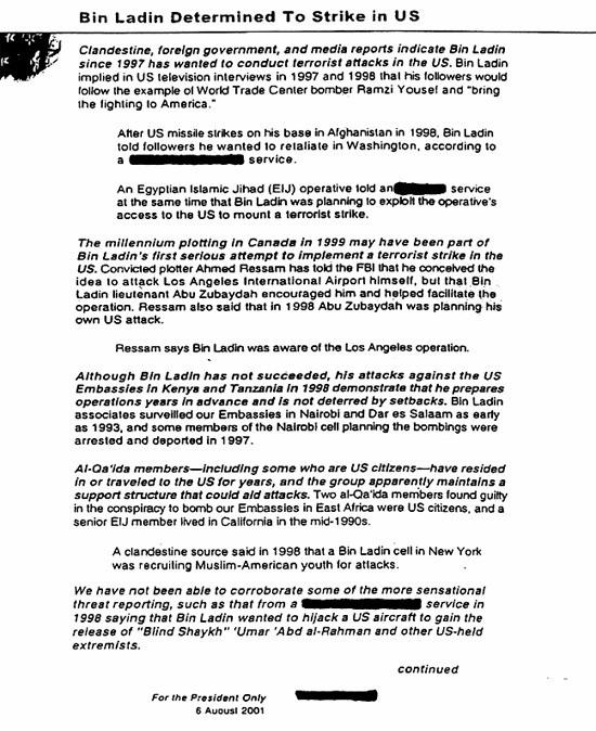
This is the briefing he received on August 6, 2001:

Taking into account all the evidence, it seems more likely than not that George W. Bush was president on September 11, 2001.
